Кварцевые резонаторы Abracon
Компания Abracon появилась на рынке относительно недавно – в 1992 г. Штаб-квартира компании располагается в США (шт. Калифорния), а ее офисы можно найти также в Европе и Азии. Продуктовая линейка компании довольно разнообразна и состоит из трех основных групп:
- Компоненты времязадающих цепочек и систем синхронизации.
- РЧ-компоненты и разъемы.
- Пассивные компоненты для силовых цепей и помехоподавления.
В настоящей статье рассматриваются компоненты из первой группы – кварцевые и керамические резонаторы. В керамических резонаторах вместо кварца применяется недорогая пьезокерамика. Такие резонаторы используются в приложениях, где не требуется очень высокая точность и стабильность частоты. Эквивалентная схема резонатора показана на рисунке 1.

Рис. 1. Эквивалентная схема резонатора
Перечислим основные параметры кварцевых резонаторов, которые следует учитывать при выборе.
- Рабочая частота. Обычно указываются от двух до пяти значащих цифр после запятой.
- Режим работы (operation mode). Указывается диапазон частот при работе на основной (fundamental) частоте или 3-й (3rd overtone) гармонике.
- Диапазон рабочей температуры. Этот параметр резонаторов Abracon находится в пределах: –55…125; –40…125; –40…85; –20…70 или 0–70°С.
- Отклонение частоты от номинального значения. Измеряется в ppm при 25°С.
- Стабильность частоты. Измеряется в ppm при 25°С.
- Эквивалентное последовательное сопротивление (ESR).
- Нагрузочная емкость (CL). • Шунтирующая емкость (С0).
- Старение. Измеряется в ppm.
Для получения устойчивых колебаний с логическими уровнями КМОП используется генератор Пирса; его схема показана на рисунке 2.

Рис. 2. Генератор Пирса
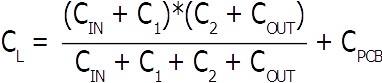
В левой части рисунка представлена электрическая схема генератора, а в правой – эквивалентная схема кристалла с учетом всех емкостей.
Из этой схемы можно вычислить нагрузочную емкость (CL), которая указывается в документации изготовителя.

где CIN – входная емкость КМОП-инвертора (см. рис. 2); COUT – выходная емкость КМОП-инвертора; CPCB – емкость проводников печатной платы.
При использовании резонатора совместно с микроконтроллером, Системой на кристалле (СнК), микросхемами генераторов и т.д. следует учесть, что инвертор генератора Пирса встроен в эти микросхемы, и беспокоиться не о чем. Однако в случае, когда требуется автономный генератор Пирса, необходимо очень внимательно отнестись к выбору инвертора. Его трансимпедансный коэффициент передачи G должен быть выше минимального критического уровня GCRIT, который определяется следующим соотношением:
GCRIT = 4ω2ESR ∙ (C0 + CL)2
Если соотношение G > GCRIT не выполняется, работа генератора Пирса является неустойчивой. Поскольку чем ниже энергопотребление в микросхемах логики, тем меньше трансимпедансный коэффициент передачи, не следует выбирать микросхемы с пониженным энергопотреблением. Кроме того, необходимо учитывать изменение сопротивления ESR в зависимости от температуры. В качестве примера на рисунке 3 показана зависимость ESR резонаторов семейства ABS 07 разных модификаций от температуры.

Рис. 3. Температурная зависимость ESR разных модификаций резонаторов семейства ABS 07W
Желательно, чтобы для запаса по усилению выполнялось неравенство: К = (G/GCRIT) > 5.
Краткий обзор резонаторов компании Abracon начнем с резонаторов семейства с частотой 32,768 кГц. Поскольку резонаторы с этой частотой используются в часах/календарях реального времени в микроконтроллерах, СнК, ASIC иногда в просторечье эти резонаторы называют «часовым» кварцем. Все резонаторы с частотой 32,768 кГц по стабильности частоты в Abracon разделяют на три группы – с высокой, типовой и низкой стабильностью. На рисунке 4 представлен график отклонения от номинальной частоты в функции температуры для всех перечисленных групп.

Рис. 4. Отклонения от номинальной частоты в функции температуры резонаторов разных групп стабильности
Резонатор ABS 07, который производится во влагозащищенном корпусе, не чувствителен к изменению влажности окружающей среды. Приведем основные параметры этого резонатора:
- частота: 32,768 кГц;
- отклонение частоты от номинального значения: ±10; ±20; ±30 ppm в зависимости от модификации;
- температурный коэффициент: –0,036 ppm/Т2;
- диапазон рабочей температуры: –55…125; –40…125 или –40…85°С в зависимости от модификации;
- мощность «раскачки»: 0,1 мкВт;
- размер: 3,2×1,5×0,9 или 3,2×1,5×0,65 мм в зависимости от модификации.
Упомянем еще резонаторы семейства ABS 25. Их основная частота также составляет 32,768 кГц, но они могут работать в диапазоне частот 30–100 кГц. У них только один диапазон рабочей температуры: –40…85°. Их размеры больше, чем у резонаторов ABS 07, и составляют 3,8×8,4×2,5 мм. Соответственно, им требуется большая мощность для раскачки (1 мкВт). Таким образом, стоимость этих резонаторов почти в два раза ниже стоимости резонаторов ABS 07. Мы сравнили эти два резонатора, чтобы показать наличие в производственной линейке компании изделий одинакового назначения, но разной ценовой категории, что обеспечивает оптимальный выбор для конкретного проекта. Если требуется получить более высокие частоты, можно обратиться, например, к семейству кварцевых резонаторов ABLS. В нем имеются резонаторы с разной стабильностью и разными диапазонами рабочей температуры и, следовательно, с разной ценой.
Их основные параметры:
- частота на основной гармонике: 3,579545–24 МГц;
- частота на 3-й гармонике: 24,01–75,00 МГц;
- отклонение частоты от номинального значения: выбирается из ряда ±5… ±30 ppm в зависимости от модификации;
- стабильность частоты: выбирается из ряда ±10… ±150 ppm в зависимости от модификации;
- диапазон рабочей температуры: выбирается из ряда от –10…60 до –55…125°С в зависимости от модификации;
- мощность «раскачки»: 1–500 мкВт;
- размер: 12,5×4,7×4,2 мм.
Для сравнения с кварцевым резонаторами ABS приведем основные параметры керамического резонатора АВМ7 примерно с таким же общим частотным диапазоном.
- частота на основной гармонике: 8–39,999999 МГц;
- частота на 3-й гармонике: 40,00–80,00 МГц;
- отклонение частоты от номинального значения: выбирается из ряда ±10… ±30 ppm в зависимости от модификации;
- стабильность частоты: выбирается из ряда ±10… ±100 ppm в зависимости от модификации;
- диапазон рабочей температуры: выбирается из ряда от 0…70 до –40…85°С в зависимости от модификации;
- расширенный диапазон рабочей температуры (только для стабильности частоты ±100 ppm): выбирается из ряда от –40…85 до –55…125°С;
- мощность «раскачки»: 10–100 мкВт;
- размер: 6,0×3,5×1,4 мм.
Как видно из этого сравнения, если не требуется высокая стабильность частоты в расширенном диапазоне температур, вместо кварцевого резонатора вполне можно использовать керамический меньшего размера. Мы упомянули лишь малую толику резонаторов производства компании Abracon – в ее производственной линейке гораздо больше компонентов. В ней представлены не только резонаторы, но и осцилляторы, а также другие компоненты времязадающих систем.
Полный ассортимент продукции Abracon, поставляемый Промэлектроникой, в том числе кварцевые резонаторы.
Новые поступления кварцевых и керамических резонаторов и осцилляторов представлены в таблице: